Cavitation is a phenomenon that generally affects the plants and in particular hydraulic machines like pumps and occurs when the pressure inside the circuit equals or drops below the pressure of the steam of the transferred fluid.

WHAT DOES THE CAVITATION PHENOMENON INVOLVE?
The cavitation phenomenon is an instant vaporisation of the fluid, localised mainly in zones where the absolute pressure is very low, followed by a rapid re-condensation.
The bubbles that are created when they collapse, create micro-objects with a high pressure causing subsequent erosion of the mechanical parts affected.
The areas affected the most are the contact ones between the fluid and solid surfaces of the pumps (impeller and casing) or in the areas where the fluid comes into contact with small suspended particles inside the fluid which manifests itself with significant cracks and vibrations.
DAMAGE CAUSED BY CAVITATION
In practice, cavitation results in a series of damaging effects one after the other:

- Erosion of the mechanical parts in direct contact with the fluid
- A drop in performance, due to the vortexes that are created as a result of surface irregularity of the surface.
- Excessive vibrations caused by an imbalance in weight and high rotation speed of the impeller
- Reduction in the useful lifespan of the pump/circuit due to the pneumatic wear of the mechanical parts (e.g. bearings, seals…)
- Breakage
HOW TO PREVENT PUMP CAVITATION
This phenomenon is due to the presence of certain situations listed below:
- High head
- Huge load losses at the pump’s input section
- Difference in height between the pump and fluid surface
- High liquid steam level (which increases with the temperature)
A mathematical instrument can be used to reduce the risk of cavitation.
Let’s introduce NPSH or Net Positive Suction Head, normally expressed in metres.
This instrument needs to be distinguished in two components:
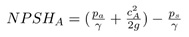
- NPSHa (available), that is, the energy that the fluid possesses on entering the intake duct minus the energy relative to the steam pressure of the fluid in question
![]()
- NPSHr (required) or the energy that the fluid loses along the intake duct, until it reaches the inside of the pump (Generally the NPSHr is calculated experimentally and is provided by the pump’s manufacturer)
![]()
With:
- Ci speed of the flow in section i
- Pi pressure of the fluid in section i
- Ps fluid steam pressure at the process temperature
- W1 speed of the fluid entering the impeller
- Λ loss coefficient
- Δpc losses of load along the intake piping
Cavitation is avoided when NPSHa > NPSHr
It is also a good idea in plant design to implement other procedures to avoid cavitation of pumps:
- Use of pumps in a series
- Position the pump in the nearby intake tank and below fluid level
- Reduce the length of the intake tract and, as a result, the load losses
- Reduce the speed of the impeller and/or flow
- Operate at a temperature that is not too high to bring down the steam pressure
- Reduce the speed of the fluid entering the pump using a wider intake diameter
CONCLUSIONS
At this stage of the plant design, it is essential to keep this phenomenon of cavitation in mind and its possible consequences on the different equipment.






