La cavitación es un fenómeno que, en general, afecta las instalaciones y, en concreto, las máquinas hidráulicas, como las bombas, y que se produce cuando la presión en el interior del circuito es igual o inferior a la presión de vapor del fluido desplazado.

EL FENÓMENO DE LA CAVITACIÓN
La cavitación es una vaporización instantánea del fluido, que se produce principalmente en las zonas en las que la presión absoluta es muy baja, a la cual sigue una rápida condensación.
Cuando las burbujas que se crean colapsan, se producen microchorros a presiones altas, que erosionan las partes mecánicas afectadas.
Las zonas más afectadas son las zonas de contacto del fluido con las superficies sólidas de las bombas (impulsor y cuerpo) o las zonas en las que el fluido está en contacto con pequeñas partículas en suspensión, lo que produce ligeros chasquidos y vibraciones.
En la práctica, la cavitación implica una serie de daños en cascada:

- Erosión de las partes mecánicas en contacto directo con el fluido.
- Disminución del rendimiento debido a los vórtices que se crean como consecuencia de las irregularidades de la superficie.
- Vibraciones excesivas causadas por el desequilibrio del peso y la alta velocidad de rotación del impulsor.
- Disminución de la vida útil de la bomba/circuito debido al desgaste prematuro de las partes mecánicas (por ejemplo, cojinetes, juntas, etc.).
- Rotura.
PREVENCIÓN DE LA CAVITACIÓN
Este fenómeno se debe a la presencia de algunas de las situaciones enumeradas a continuación:
- Altura total de elevación considerable.
- Importantes pérdidas de carga en el tramo de entrada de la bomba.
- Diferencia de cota entre la bomba y la superficie libre del fluido.
- Tensión de vapor del líquido alta (que aumenta con la temperatura).
Es posible recurrir a una fórmula matemática para reducir el riesgo de cavitación.
Se trata del NPSH o Net Positive Suction Head (en español, ANPA o Altura Neta Positiva en la Aspiración), normalmente expresado en metros.
Hay dos tipos de NPSH:
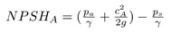
- NPSHa (disponible), es decir, energía que el fluido tiene en la entrada de la tubería de aspiración restada de la energía relativa a la presión de vapor del fluido en cuestión:
![]()
NPSHr (requerido), es decir, energía que el fluido pierde a lo largo de la tubería de aspiración hasta que llega al interior de la bomba (generalmente, el NPSHr se calcula experimentalmente y lo indica el fabricante de la bomba):
![]()
Con
- Ci velocidad del flujo en la sección i
- Pi presión del fluido en la sección i
- Ps presión de vapor del fluido a la temperatura de proceso
- W1 velocidad relativa del fluido que entra en el impulsor
- Λ coeficiente de pérdida
- Δpc pérdidas de carga a lo largo de la tubería en aspiración
La cavitación se evita cuando NPSHa > NPSHr.
En la ingeniería de plantas, es aconsejable recurrir también a otras soluciones para evitar la cavitación, a saber:
- Usar bombas en serie.
- Colocar la bomba cerca del depósito de aspiración y debajo del nivel del fluido.
- Reducir la longitud del tramo de aspiración y, por lo tanto, de las pérdidas de carga.
- Reducir la velocidad del impulsor y/o del caudal.
- Trabajar a una temperatura que no sea demasiado alta para reducir la presión de vapor.
- Disminuir la velocidad de entrada del fluido en la bomba, usando un diámetro mayor en la aspiración.
CONCLUSIONES
Por lo tanto, en la fase de diseño de la instalación, es necesario tener en cuenta la cavitación y las posibles consecuencias en los diferentes equipos.










