In unserer wichtigen Rolle als Hersteller von Hydraulikpumpen sind wir uns der großen Anzahl von Variablen bewusst, die bei der Auswahl der richtigen Pumpe für die spezifischen Anwendungsanforderungen berücksichtigt werden müssen. Dieser erste Artikel zielt darauf ab, innerhalb der großen Anzahl technischer Indikatoren im Universum der Hydraulikpumpen Klarheit zu schaffen, ausgehend vom Parameter der Pumpenprävalenz.
Was ist die Prävalenz einer Pumpe?
Die Prävalenz einer Pumpe ist eine physikalische Größe, die die Fähigkeit der Pumpe ausdrückt, ein bestimmtes Flüssigkeitsvolumen, das normalerweise in Metern Wassersäule ausgedrückt wird, von dem Punkt, an dem sich die Pumpe befindet, auf ein höheres Niveau zu heben. Einfach ausgedrückt, können wir die Prävalenz auch als die maximale Hubhöhe definieren, die die Pumpe auf das Fördermedium übertragen kann. Das deutlichste Beispiel ist ein vertikales Rohr, das direkt vom Vorlaufausgang aufsteigt. Die Flüssigkeit wird 5 Meter vom Auslass einer Pumpe mit einer Prävalenz von 5 Metern entlang des Rohres gepumpt. Die Prävalenz einer Pumpe korreliert umgekehrt mit der Fördermenge. Je größer die Fördermenge der Pumpe ist, desto geringer ist die Prävalenz.
Im Betriebsplan einer Wasserhebeanlage mit Pumpenantrieb in Bezug auf die Ermittlung der Prävalenz (1) Ansaugschlauch (2) Vorlaufschlauch wird Folgendes definiert:
- geodätische Saughöhe Ha: die Pegeldifferenz zwischen Punkt A und Pumpe
- geodätische Förderhöhe Hm: die Pegeldifferenz zwischen Punkt B und Pumpe
- geodätische Prävalenz H: die Differenz zwischen Flüssigkeitsstand bei Vorlauf und Ansaugung
Wie wird die Pumpenprävalenz berechnet?
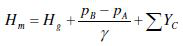
Die geodätische Prävalenz H, allgemein Prävalenz genannt, entspricht somit der Summe der geodätischen Saughöhen Ha und der Vorlaufhöhe Hm.
Im Bereich des Handlings von Fördermedien spielen Pumpen eine grundlegende Rolle.
Bei der Auslegung einer Pumpe sind zwei Faktoren besonders wichtig:
- Die Fördermenge, das heißt die Flüssigkeitsmenge (Volumen), die innerhalb einer bestimmten Zeiteinheit durch die Pumpe strömt
- Manometrische Förderhöhe, das heißt die nutzbare Arbeit, die von der Pumpe auf das Fördermedium übertragen wird
Auf der Basis einer allgemeinen wie der seitlich abgebildeten Anlage werden einige für das Verständnis der Abhandlung grundlegenden Begriffe erläutert.
- Hg geodätische Förderhöhe
- Ha Förderhöhe in der Saugleitung
- Hb Förderhöhe in der Druckleitung
- h Niveauunterschied zwischen Einlauf- und Auslaufseite der Pumpe
- pa Druck auf den vorangestellten Behälter
- pb Druck auf den nachgestellten Behälter
Wie bereits erwähnt, handelt es sich bei der Fördermenge um die nutzbare Energie, die von der Pumpe auf das Fördermedium ausgeübt wird. Die Bernoulli-Gleichung kommt zwischen Ein-und Austrittsquerschnitt der Pumpe zur Anwendung:
Berechnung der Prävalenz einer Pumpe mit der Bernoulli-Gleichung

H1 + Hm = H2 H1 = eingehende Energie
Hm = von der Pumpe ausgeübte Energie
H2 = ausgehende Energie
Wenn man durch die Gleichung von Bernoulli ersetzt:

Gewöhnlich möchte man den Term Hm ermitteln.
Trotzdem sind in der Planungsphase die Größen P1 und P2 niemals bekannt (da noch kein physisches Element vorhanden und somit der Eingangs- und Ausgangsdruck der Pumpe nicht erhoben werden können).
Somit werden zwei neue, hingegen bekannte Terme bestimmt, mit denen das Problem umgangen und die Pumpe ausgelegt werden kann:
P1 = Pa – γ * Ha
P2 = Pb + γ * Hb
Unter zusätzlicher Berücksichtigung von:
Hg = h + Ha + Hb
Ergibt sich folgende Relation:
![]()
In einer realen Umgebung sind auch die strömungsdynamischen Verluste zu berücksichtigen, die das Fördermedium im Zuge des Strömens durch die Leitungen und verschiedenen Bauelemente saug- wie druckseitig erfährt (Ventile, Kurven, Verbindungen etc.).
Unsere Gleichung lautet wie folgt:
![]()
Die Summe der verteilten Verluste
An dieser Stelle wird ein noch komplexerer Aspekt, nämlich die Berechnung des letzten Terms der oben genannten Gleichung behandelt, der die Summe der entlang der Leitung auftretenden Verluste (saug- und druckseitig) und die konzentrierten Verluste (Ventile, Krümmungen etc.) betrifft.
Verteilte Druckverluste
Das in einer Leitung fließende Fördermedium erleidet Druckverluste (hinsichtlich des Drucks abziehbar), die auf die Reibung zwischen des Fördermediums selbst und den Leistungswänden zurückzuführen sind.
Diese Verluste hängen von den Eigenschaften der Leitung ab und sind proportional zu ihrer Länge.
Für ihre Berechnung ist die Bestimmung eines Reibungsbeiwerts erforderlich, der wiederum von der Geschwindigkeit des Fördermediums abhängt.
Dabei unterschiedet man zwischen zwei Möglichkeiten: die laminare oder die turbulente Strömung des Fördermediums.
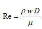
1. FÖRDERMEDIUM MIT LAMINARER STRÖMUNG
Bei der Bewegung des Fördermediums handelt es sich um eine laminare Strömung bzw. Reynolds < 2000.

Ρ = Dichte des Fördermediums
W = Geschwindigkeit des Fördermediums
D = Durchmesser des Fördermediums
µ = Viskosität des Fördermediums
wobei die Geschwindigkeit abgeleitet werden kann, da die erforderliche Fördermenge für die Auslegung bekannt ist und daher folgende Formel herangezogen werden kann:
w = (4*Q)/(π*D2)
Der Reibungsbeiwert wird im Falle dieser Strömung wie folgt definiert:
Fa = 64/Re
Für die Berechnung der in Metern ausgedrückten kontinuierlichen Verluste bei laminarer Strömung gilt:
Yc = (Fa/ γ) *(L/D) * w2/2
2. FÖRDERMEDIUM MIT TURBULENTER STRÖMUNG
Bei der Bewegung des Fördermediums handelt es sich um eine turbulente Strömung bzw. Re > 4000 (häufiger eintretender Fall).
Unter Berücksichtigung der Formeln für die Berechnung der Geschwindigkeit und für die Berechnung der Reynolds-Zahl (Re) ergibt sich ein Reibungsbeiwert von:
Fa = 0,07 * Re-0.13 * D-0.14
Und die Druckverluste bei turbulenter Strömung:
Yc = (Fa/ γ) *(L/D) * w2/2
Konzentrierte Druckverluste
Entlang der Rohrleitungen einer Anlage befinden sich zahllose Bau- und Steuerelemente wie Ventile, Anschlussstellen, Engpässe etc., die alle Druckverluste nach sich ziehen.
Zur Berechnung dieser Druckverluste gibt es diverse Methoden.
Die einfachste und am leichtesten verständliche ist die Verwendung des nachstehenden Diagramms

Die rechte Achse entspricht dem Innendurchmesser der Rohrleitung in mm.
Die linke Achse stellt die verschiedenen Behinderungen dar, die entlang der Rohrleitung auftreten können.
Die Achse in der Mitte zeigt den entsprechenden, in Metern ausgedrückten Druckverlust in Bezug auf das entsprechende Element (z. B. ein Ventil) entlang einer Rohrleitung mit einem Innendurchmesser von 50 mm.
An dieser Stelle können die Druckverluste der Anlage einfach berechnet und schließlich die Pumpe entsprechend ausgelegt werden, um die gewünschte Fördermenge auf der entsprechenden erhaltenen Förderhöhe zu erzielen.
Wo finde ich die Prävalenzdaten der Pumpe?
Der Indikator Pumpenprävalenz ist vorhanden und kann in den technischen Datenblättern aller unserer Hauptprodukte eingesehen werden. Um mehr über die technischen Daten unserer Pumpen zu erfahren, können Sie sich an das technische und kaufmännische Team wenden.












