Nel nostro importante ruolo di produttori di pompe idrauliche siamo consapevoli dell’elevato numero di variabili che è necessario prendere in considerazione per scegliere la pompa adatta alle specifiche esigenze applicative. Questo primo articolo ha lo scopo di iniziare a fare chiarezza all’interno dell’elevato numero di indicatori tecnici presenti all’interno dell’universo delle pompe idrauliche partendo dal parametro “prevalenza pompa”.
Cos’è la prevalenza di una pompa?
La prevalenza di una pompa è una grandezza fisica che esprime la capacità della pompa di sollevare un determinato volume di fluido, espresso solitamente in metri di colonna d’acqua, ad un livello superiore dal punto in cui è posizionata la pompa stessa. In poche parole, possiamo anche definire la prevalenza come l’altezza massima di sollevamento che la pompa riesce a trasmettere al fluido convogliato. L’esempio più chiaro è quello di un tubo verticale che sale direttamente dall’uscita di mandata. Il fluido sarà pompato lungo il tubo a 5 metri dall’uscita di scarico da una pompa con una prevalenza di 5 metri. La prevalenza di una pompa è inversamente correlata con la portata. Maggiore sarà infatti la portata della pompa e minore sarà la prevalenza.
Nello schema di funzionamento di un impianto di sollevamento d’acqua a mezzo pompa con riferimenti per il calcolo della prevalenza (1) tubo di aspirazione (2) tubo di mandata si definisce:
- altezza geodetica d’aspirazione Ha: la differenza di livello tra il punto A e la pompa
- altezza geodetica di mandata Hm: la differenza di livello tra il punto B e la pompa
- prevalenza geodetica H: la differenza tra i livelli del liquido alla mandata e all’aspirazione
La prevalenza geodetica H, comunemente definita prevalenza, corrisponde quindi alla somma delle altezze geodetiche d’aspirazione Ha e di mandata Hm.
Come si effettua il calcolo di prevalenza pompa?
Nel campo della movimentazione di fluidi, un ruolo fondamentale è svolto dalle pompe.
Nel dimensionamento di una pompa, due fattori spiccano per importanza:
- Portata, ovvero la quantità di fluido (o volume) che nell’unità di tempo attraversa la pompa
- Prevalenza manometrica, cioè l’energia effettiva che la pompa cede al fluido
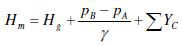
Prendendo come esempio un impianto generico come quello mostrato nella figura a lato, si definiscono alcune grandezze fondamentali alla comprensione della trattazione:
- Hg prevalenza geodetica
- Ha prevalenza nella condotta di aspirazione
- Hb prevalenza nella condotta di mandata
- h dislivello tra la sezione di ingresso e quella di uscita della pompa
- pa pressione sul serbatoio a valle
- pb pressione sul serbatoio a monte
Calcolo della prevalenza di una pompa con l’equazione di Bernoulli
Cos’è la prevalenza di una pompa? Come anticipato, la prevalenza è effettivamente l’energia che la pompa cede al fluido. Si applica Bernoulli tra le sezioni di ingresso e uscita della pompa:

H1 + Hm = H2 H1 = energia entrante
Hm = energia ceduta dalla pompa
H2 = energia uscente
Sostituendo con l’equazione di Bernoulli:

Il termine che si intende normalmente trovare è Hm.
Tuttavia, in fase di progetto, P1 e P2 non sono mai noti (in quanto non è ancora presente nessun elemento fisico e non è pertanto possibile misurare effettivamente la pressione in ingresso e uscita dalla pompa).
Si definiscono allora due nuovi termini, che sono invece noti, e con i quali è possibile aggirare il problema e dimensionare la pompa:
P1 = Pa – γ * Ha
P2 = Pb + γ * Hb
Considerando inoltre che:
Hg = h + Ha + Hb
Otteniamo una relazione così definita:
![]()
In una situazione reale bisogna considerare anche le perdite fluidodinamiche che il liquido incontra nello scorrere attraverso le condotte e nei vari elementi di costruzione, sia in aspirazione che in mandata (valvole, curve, giunzioni, ecc.).
La nostra equazione viene così definita:
![]()
La sommatoria delle perdite distribuite
Un discorso più complesso verrà trattato ora, ovvero il calcolo dell’ultimo termine dell’equazione succitata, il quale rappresenta la sommatoria delle perdite distribuite lungo la tubazione (aspirazione e mandata) e quelle concentrate (valvole, curve, ecc.).
Perdite di calcolo distribuite
Il fluido, scorrendo all’interno di una tubazione, subisce perdite di carico (deducibili in termini di pressione) dovute all’attrito tra il fluido stesso e le pareti della tubazione. Queste perdite sono dipendenti dalle caratteristiche della tubazione, e proporzionali alla sua lunghezza.
Per calcolarle è necessario definire un fattore di attrito, dipendente dalla velocità del fluido. Si distinguono due casi, quello in cui il moto del fluido sia in regime laminare, e quello in cui il moto del fluido sia in regime turbolento.
1. Fluido in moto laminare
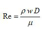
Il moto del fluido si trova in regime laminare, ovvero Reynolds < 2000.

Ρ = densità del fluido
W = velocità del fluido
D = diametro del fluido
µ = viscosità del fluido
dove la velocità può essere dedotta conoscendo la portata necessaria per il dimensionamento e quindi dalla seguente formula:
w = (4*Q)/(π*D2)
Il fattore di attrito in questo tipo di moto è così definito:
Fa = 64/Re
Per il calcolo delle perdite continue espresse in metri, in regime laminare si avrà dunque:
Yc = (Fa/ γ) *(L/D) * w2/2
2. Fluido in moto turbolento
Il moto del fluido si trova in regime turbolento, ovvero Re > 4000 (caso più frequente).
Tenendo conto delle formule per il calcolo della velocità e per il calcolo del numero di Re, si avrà un fattore di attrito:
Fa = 0.07 * Re-0.13 * D-0.14
E le perdite di carico in regime turbolento:
Yc = (Fa/ γ) *(L/D) * w2/2
Perdite di carico concentrate
Lungo la tubazione di un impianto sono presenti numerosi elementi di costruzione e gestione, come valvole, raccordi, restringimenti, ecc., anch’essi responsabili di perdite di carico. Per il calcolo relativo a queste perdite di carico esistono diversi metodi. Il più semplice e facilmente intuibile è quello dell’utilizzo del seguente diagramma

- L’asse di destra rappresenta il diametro interno della tubazione espresso in mm.
- L’asse di sinistra rappresenta i diversi ostacoli che si possono trovare lungo la tubazione.
- L’asse al centro è la corrispondente perdita di carico espressa in metri, relativa all’elemento in questione (es. valvola) lungo una tubazione di D interno 50 mm.
A questo punto è possibile calcolare le perdite di carico dell’impianto con facilità, ed infine dimensionare la pompa per ottenere la portata desiderata alla prevalenza equivalente ottenuta.
Dove è possibile trovare il dato di prevalenza della pompa?
L’indicatore prevalenza pompa è presente ed è consultabile all’interno delle schede tecniche di tutti i nostri principali prodotti. Allo scopo di ottenere maggiori informazioni sui dati tecnici delle nostre pompe è possibile contattare il team tecnico e commerciale.













